


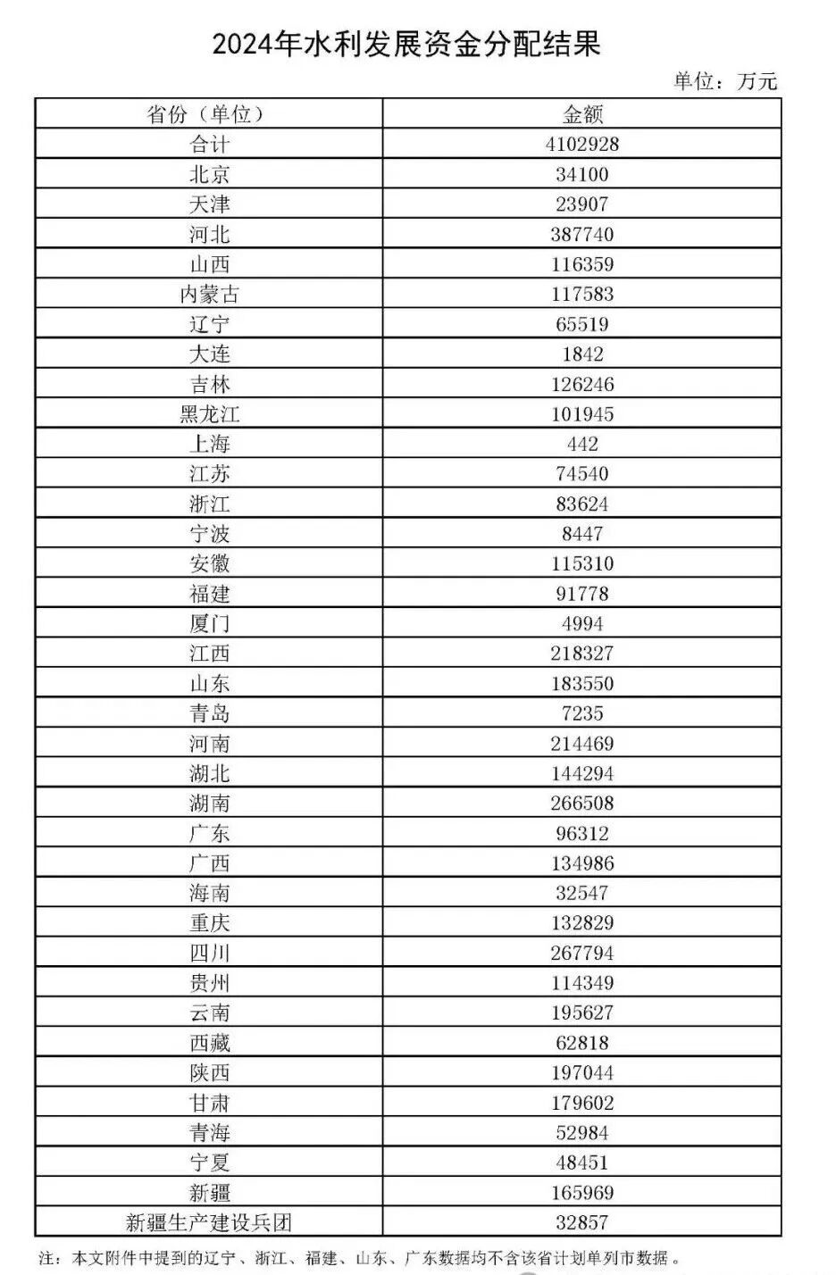
根据此表可知,2024年水利发展资金为410.2928亿,较2023年的618.2089亿减少了207.9161亿,减幅达33.66%;2022年水利发展资金为603.2089亿,2021年水利发展资金为574.27亿, 2020年水利发展资金为556.799亿,2019年水利发展资金为546.9428亿, 2018年水利发展资金为660.7517亿,2017年水利发展资金为651.5341亿,为近8年中,下拨资金最少的一年,较最高峰2018年的660.7517亿减少了250.4589亿,减幅达37.91%!
下面我们分析下2024年水利发展资金分配到各省的基本情况:
2024年分配资金较2023年分配资金仅天津市为正增长,涨幅36.21%,其余省级行政区均有不同程度的降幅,最大降幅为64.55%,为上海市,最小降幅为0.003%,为河北省!
2024年分配资金较2023年分配资金仅天津市为正增长6355万元(从1.7552亿元增长至2.3907亿元),其余省级行政区均有不同程度的减少,最大减少为安徽省减少19.1264亿元(从30.6574亿元减少到11.5310亿元),最小减少为河北省减少10万元(从38.7750亿元减少到38.7740亿元)!
2024年分配资金较2023年分配资金减少了超10亿的有8个省级行政区,分别为安徽、湖南、四川、贵州、广西、云南 、福建、湖北。
2024年分配资金较2023年分配资金减少了5亿-10亿的有10个省级行政区,分别为江西、陕西、甘肃、重庆、新疆(含兵团)、黑龙江、吉林、辽宁、江苏、西藏。
2024年分配资金较2023年分配资金减少了3亿-5亿的有4个省级行政区,分别为河南、山西、内蒙古、青海。
2024年分配资金较2023年分配资金减少了1亿-3亿的有4个省级行政区,分别为山东、浙江、广东、宁夏。
2024年分配资金较2023年分配资金减少了1亿以内的有4个省级行政区,分别为河北、海南、北京、上海。
2024年分配资金较2023年分配资金降幅超50%的有8个省级行政区,分别为上海、安徽、辽宁、福建、贵州、江苏、西藏、广西。
2024年分配资金较2023年分配资金降幅在30%-50%的有6个省级行政区,分别为湖南、四川、云南、湖北、重庆、黑龙江。
2024年分配资金较2023年分配资金降幅在10%-30%的有12个省级行政区,分别为江西 、陕西、河南、甘肃、新疆、吉林、山西、内蒙古、浙江、广东、宁夏、海南。
2024年分配资金较2023年分配资金降幅在10%以内的有3个省级行政区,分别为河北、山东、北京。
据了解,2024年水利发展资金主要用于11大方面:
(一)中小河流治理,完成135条,治理总长3007.9km;
(二)小型水库除险加固,完成757座;
(三)中型灌区节水配套改造,完成改造面积346.7万亩;
(四)山洪灾害防治,完成2076个。
(五)山洪灾害防治设施维修养护,完成1881个。
(六)农村饮水工程维修养护,完成67973个。
(七)小型水库工程维修养护,完成88711座小型水库白蚁等害堤动物日常检查;治理19717座小型水库白蚁危害。
(八)水资源刚性约束与调度,实施72个节水型社会达标。
(九)农业水价综合改革,新增农业水价综合改革面积8093.3万亩;深化农业用水权改革试点灌溉面积793.3万亩
(十)水土流失综合治理,完成844个中型以上病险淤地坝除险加固和老旧淤地坝提升改造
(十一)水系连通及水美乡村建设,用于81个水系连通及水美乡村建设试点县。






















